英文名稱:4,6-Dichloro-2-(3-methyl-1H-pyrazol-1-yl)pyrimidine
分子式:C8H6Cl2N4
分子量:229.07
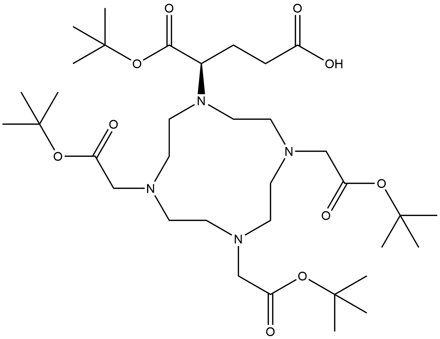
英文名稱:(R)-5-(tert-Butoxy)-5-oxo-4-(4,7,10-tris(2-(tert-butoxy)-2-oxoethyl)-1,4,7,10-tetraazacyclododecan-1-yl)pentanoic acid
分子式:C35H64N4O10
分子量:700.90
英文名稱:1-Boc-Azepane-4-carboxylic acid
分子式:C12H21NO4
分子量:243.30
英文名稱:1-amino-3-(dimethylamino)propan-2-ol
分子式:C5H14N2O
分子量:118.18
英文名稱:2,2',2'',2'''-(Ethene-1,1,2,2-tetrayltetrakis([1,1'-biphenyl]-4',4-diyl))tetraacetonitrile
分子式:C58H40N4
分子量:792.97
英文名稱:1,3-Bis4-(trifluoromethyl)phenylurea
分子式:C15H10F6N2O
分子量:348.24